
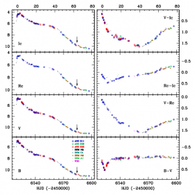
We present and discuss the BVRI photometric evolution of Nova Del 2013 from the time of discovery, which occurred a few days before maximum brightness, to day +77, when the optically thick phase was over.
Authors: U. Munari, A. Henden, S. Dallaporta, G. Cherini